Lanzar un proyecto o realizar una inversión requiere de un estudio profundo de diferentes aspectos. ¿Te subirías a un avión sin saber si vuela? No, ¿verdad? Lo mismo ocurre con los proyectos: para tomar la decisión de llevarlos a cabo debemos saber si pueden funcionar, es decir, si van a ser rentable. Para ello debemos saber cómo calcular la tasa interna de retorno.
Detrás del concepto de rentabilidad hay una lógica sencilla: ganar más de lo que se pierde. Sin embargo, estudiar los costes y beneficios de un proyecto a lo largo del tiempo requiere de ciertos cálculos. Para desarrollar correctamente estos cálculos debemos tener en cuenta diferentes factores, como la inversión inicial, los flujos de efectivo o la tasa de descuento. ¿Te interesa? ¡Sigue leyendo!
¿Qué es la TIR?
La TIR, también conocida como Tasa Interna de Retorno, es una medida financiera utilizada para evaluar la rentabilidad de una inversión o de un proyecto.
La idea es descubrir cómo de rentable es aquello a lo que nos queremos enfrentar. Es decir, nos ayudará a dirigirnos a aquellos proyectos en los que podremos obtener los mayores beneficios utilizando la menor cantidad de recursos posibles. Por ello, cuando analizamos diferentes opciones, es fundamental prestar atención a la TIR. Compararemos las Tasas Internas de Retorno de diferentes las opciones y esto nos facilitará tomar la decisión de escoger unas u otras. Para ello debemos tener en cuenta que, cuanto más alta sea la TIR, mayor será la rentabilidad.
También podemos comprender este concepto de la siguiente forma: la TIR sirve para establecer un punto a partir del cual la inversión es rentable. Así, por debajo de determinada TIR decidiremos no llevar a cabo la inversión. Concretamente, si la rentabilidad de esta por encima de los costes, diremos que se trata de una inversión rentable. Por otro lado, si la rentabilidad no es suficiente para cubrir los gastos, diremos que no es rentable y no será una decisión factible. En definitiva, la TIR indica el tipo de interés mínimo necesario para que la inversión sea rentable.
Por todo ello, saber calcular y analizar la TIR es imprescindible para desarrollar cualquier proyecto de emprendimiento o de inversión.
¿Qué es el VAN?
La TIR es la tasa de descuento que hace que el Valor Actual Neto (VAN) sea igual a cero. ¿Y qué es el VAN? ¡Veámoslo!
El Valor Actual Neto (VAN) también es una medida financiera utilizada para evaluar la viabilidad económica de un proyecto de inversión. De hecho, la TIR está estrechamente relacionada con el VAN. El VAN representa la diferencia entre el valor presente de los flujos de efectivo generados por el proyecto y el coste inicial de la inversión. Por lo tanto, también tiene en cuenta la evolución del valor del dinero en el tiempo.
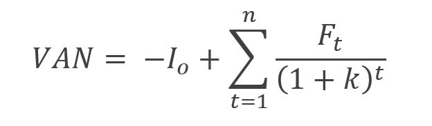
A continuación, encontramos la fórmula del VAN.

El primer término, en negativo, representa la inversión inicial. El segundo término, en positivo, encontramos el sumatorio de los flujos de efectivo. Por lo tanto, cuanto mayor sea la inversión inicial, con flujos constantes, menor será el VAN. Por otro lado, cuanto mayor sean los flujos de efectivo, con inversión inicial constante, mayor será el VAN.
La lógica detrás de esta fórmula es la siguiente: con una inversión inicial muy elevada necesitaremos beneficios futuros elevados para que el proyecto sea rentable. Si el sumatorio el superior a la inversión inicial, el VAN será positivo y la inversión rentable. Sin embargo, si el sumatorio de flujos de efectivo es inferior a la inversión inicial, el VAN será negativo y el proyecto no será rentable. ¿Y si el VAN es 0?
¿Cómo calcular la Tasa Interna de Retorno (TIR)?
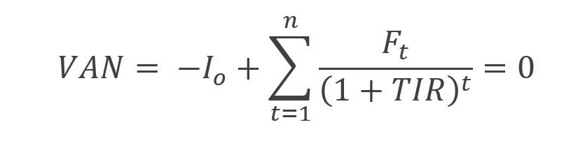
Para calcular la TIR debemos igualar el VAN a 0. Si el VAN es 0 significará que estamos en un punto en el que el proyecto es indiferente. En este punto, si la inversión inicial fuese ligeramente inferior o los flujos ligeramente superiores, el VAN sería positivo y el proyecto ya sería rentable. Por otro lado, si la inversión fuese ligeramente superior o los flujos de efectivo ligeramente inferiores, el proyecto no sería rentable. En la siguiente fórmula vemos la relación matemática del VAN y la TIR.

¡Atención! En la fórmula inicial del VAN, utilizábamos una k para representar la tasa de descuento. ¿Por qué no aparece en la fórmula de la TIR? Precisamente porque la TIR es la tasa de descuento (k) cuando el VAN es 0.
Por lo tanto, el VAN y la TIR son medidas financieras que nos aportan información sobre la rentabilidad de un proyecto o inversión. Si el VAN es positivo, podremos afirmar que el proyecto es rentable. Por otro lado, si el VAN es negativo, diremos que el proyecto no es rentable. Además, para comparar diferentes opciones de inversión, es necesario conocer cómo calcular la Tasa Interna de Retorno. Nos decantaremos por aquella que ofrezca una mayor TIR, es decir, una mayor rentabilidad.






Deja un comentario